Update 6: 2 years and 8 months into Treatment
- Dr. Nicole Vumbaco | DVM

- Jan 7, 2023
- 28 min read
Updated: Jan 10
December 2021 – January 7th, 2023 | Part 1 - Part 4
For months I found myself sitting down to start this update. Fervishly wanting to create, I watched the vertical line steadily blink as my constraint and struggle to initiate laid idle. Unable to find any words, my pen has been dry and as each month passed, the scope of treatment updates compounded. I was paralyzed; engulfed by the overwhelm and expenditure of this disease but also that of which these updates require. Do you know that feeling? It’s not really procrastination; maybe more self-perseverance (or just unmitigated exhaustion). Either way, I’ve done it now, over an entire year has passed without ONE treatment update.
As multiple preoccupations ended, the pull to produce began. Little by little, each section has been slowly defined. My intent was to summarize and collate the last 13 months into one fluid, streamlined update. Personally, I just need to feel caught up. Despite multiple attempts, it's become apparent that this goal is impossible. There isn't much about this disease that's short-winded. It's a ton of information, every day, all the time. Somehow the harder I worked to fine tune it, the longer this update became. I've been stuck on how to move forward.
I've decided to keep it as one update, but split it into four parts [Part 1, Part 2, Part 3, Part 4] in order to capture important trends and relevant developments (both personally and medically). Each section is about a 7 minute read and covers the end of 2021 through the beginning of 2023 (with all treatment summaries). That way you can easily pick-up where you left off, like a chapter in a book. Hopefully this makes it less overwhelming for you and easier to take in, especially for other patients.
I can make you this promise though, no matter how mired in overwhelm I may be, moving forward I will never let this much time pass between updates again...EVER!
[PART 1]
148 weeks are in the rearview since starting treatment... that's 34 months of hard work, sacrifice, tears, fierce determination, discomfort, gratitude, grit, sarcasm, sadness, hope, grief, wasted dreams and perspective...
Exactly 2 years, 293 days, and 22 hours closer to recovery
To be able to say that is pretty incredible :) Since my last update, I have officially completed all 3 antibiotic phases of Stage 1, finished Stage 2 [Rifampin] and entered Stage 3 [The start of Rifabutin]. In that time, I recovered from the trauma that was 2021, made it through 2022 and have entered 2023 a little lighter. Without question, 2021 has been my most challenging year to date since diagnosis. A muddled mixture of hope and torture, gains and losses, advancements and declines, impatience, harsh realities and an ongoing conscious reminder of lost time. 2022 would prove to be of equal challenge but in a so many different ways. To be honest, I can barely remember any of it. As demonstrated in my 13 months of silence on the blog, I just disappeared. In order to write this update I've had to back track through countless calendars, notes, audio recordings of doctor visits, electronic medical records, pictures and memories. There are things I don't want to remember and things I hope to never forget. Mostly, I'm astonished at all that's been accomplished (and a bit stunned by all still yet to be done). Let’s get into it!
2022 in Review | The Year of Forward Movement
Over the last year, I’ve reached many milestones, welcomed in my 40’s, had a few treatment setbacks, various new medical developments, piles of new patient and legal paperwork (work comp, SSDI), God’s continued blessings (and His continued experiments on my patience lol), visits from multiple longtime friends, witnessed my little brother marry the love of his life, had multiple positive clinical progressions, been able to interact more with my mom, talk more, breathe easier (literally) and use my hands.
There have been a total of 6 recheck appointments with Dr Barter, two (very long) internal medicine IME’s (Independent Medical Evaluations), 5 new specialist consultations, one Fertility Specialist. two ER visits, multiple PCP appointments, more advanced imaging, a plethora of treatment changes and a dump truck full of debt. For months, mom was critically ill, requiring extensive supportive care and multiple doctor evaluations. Although the definitive cause remains unknown, she is thankfully much improved. Both my pet's also needed veterinary care. Pancake is now fully recovered from her 2021 lumbar injury and my old girl, Cat seems to be leveling out from multiple flares of her chronic IBD and Kidney Disease. One of the greatest challenges of being a DVM in my current situation is the inability to freely treat my own pets. I don't have open access to a clinic, the nursing staff, the employee discount, pharmacy or the diagnostic tools to make things happen. There is an incredible team rallying for me and my pets, to which my gratitude is overwhelming. But, in emergent situations, not being able to "pop by the clinic" to vet them myself, having to pay for another ER DVM's exam fee and be dependent on other's willingness to practice a specific standard of medicine... stings a little something extra. Finding ways to get them the best care without any hospital privileges has been humbling... in the most gut-wrenching and frustrating way. I joke "a vet walks into a vet for a vet" but its my reality, I'm on the other side of practicing and I hate it. Hopefully temporary, but a conscious reminder of all that's been taken, nonetheless.
Of most significance, the best of parts of 2022 offered a collective reprieve from extended solitude and an opportunity to reconnect. I've now officially (and finally) hugged one of my brothers (and a few more close friends), had my first haircut, shook a few hands, got out in the community (visited a local car show) and celebrated my first holiday with part of the family (since the start of CV19). Overall, I’m feeling a bit more like a real human and have enjoyed glimpses of the girl I use to know.

The End of Rifampin
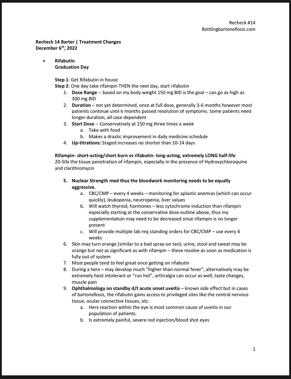
What a long road - Starting January 2021, the addition and up-titration of Rifampin was painstakingly complex. With each dose increase, my body suffered multiple (expected) herx reactions, hormonal shifts, cortisol depletion, elevated liver values, worsening bone marrow suppression, progressing proteinuria (protein loss in the urine) and new bartonella-specific symptoms... while somehow simultaneously showing improvements elsewhere. The body is amazing that way; resilient, forgiving, but always keeping score. About 22 belabored months later (on November 8th, 2022), I officially reached Rifampin's long-awaited target dose of 600mg twice daily. Then 30 days after that (Dec 16, 22), Rifampin was switched out for the heavy hitter, Rifabutin... I made it! Almost 3 years into treatment and I finally made it!!
Here is where I am now:


Rifabutin [Stage 3 Drug]
Getting to this point has brought the most expansive feeling of success; a very long overdue mental win over the ill-defined lingering stagnation of chronic disease. It feels damn great!
For Bartonella patients, this antibiotic is one of the more powerful therapeutics available and is historically associated with the biggest clinical gains. In comparison to Rifampin, Rifabutin has a higher potency, is longer acting (has a half-life of 45 hours) and is fat-soluble (allowing it to be well distributed within the intracellular tissue). Because of this, Rifabutin can penetrate areas 20-50% more than Rifampin (especially in the brain, spinal fluid and connective tissue) leading to a larger die-off (this is why you start with rifampin and work up to rifabutin). As tolerated, staged up-titrations are allowed every 14-21 days. After a dose increase, Herx reactions can be expected around day 8-9. A high fever may be accompanied by the standard variety "flu-like symptoms", increased body pains (arthralgia/myalgias) and skin rash (compared to Rifampin which was associated with low-grade fevers). Because it is longer acting, the herx reactions can take weeks to resolve. Once you're there, you're in it for the long haul. Because of my extent of neurologic involvement and Rifabutin's powerful antibiotic influence, Dr. Barter started me at an incredibly conservative dose of 150 mg three times a week (end goal being 150mg - 300mg twice daily, which is based on body weight).
Of added benefit for Bartonella patients, Rifabutin's potency is amplified when given in combination with Clarithromycin. The plasma concentrations of Rifabutin and it's active metabolite are respectively increased 4 times and 37 times greater than if Rifabutin were administered alone (basically boosting Rifabutin's bacteria killing properties). Add in the use of hydroxychloroquine (HCQ), and this effect is even more powerful. Most bartonellosis patients have some aspect of an uncategorized autoimmune and connective tissue disease. The implementation of HCQ (an anti-malarial commonly used in rheumatic disorders) has a dual purpose here -- in the case of Bartonella - 1) It can help mitigate pain and inflammation associated with connective tissue/autoimmune derangements and 2) When given with certain antibiotics, it will enhance that antibiotic's action inside our cells (where bartonella chronically lives). If you recall back in Update 5:
"Studies have found that HCQ causes the inside of a cell (specifically the lysosome) to alkalinize - This higher pH increases the bacteria killing potential of antibiotics (potentiates antibiotic’s bactericidal activity intracellularly), especially so with Macrolides (like Clarithromycin) and Rifamycins (like Rifabutin)" .
Essentially, Rifabutin with Clarithromycin, in addition to Hydroxychloroquine increases antibiotic influence and bacterial death. Gotta love the synergy of science! Bone Marrow Suppression (low white blood cells, low platelets and low red blood cells, respectively neutropenia/leukopenia, thrombocytopenia, and anemia) is the most common and concerning side effect of these combos; the onset can be abrupt and severe and needs to be closely monitored. Specific to my case, Dr Barter requires bloodwork eval every 4 weeks. While Rifabutin is less likely to cause liver or kidney injury, both will continue to be routinely monitored. Additionally, in the absence of Rifampin (which influences how quickly hormones are broken down), our neuroendocrine supplementation (thyroid, testosterone, progesterone, hydrocortisone, etc) may need to be decreased. So far, my hormones, bone marrow and organ function have remained stable through the transition!
I think one of the more important characteristics to mention here is Rifabutin's robust impact on the Central Nervous System. This antibiotic is much more efficient at crossing the Blood-Brain Barrier (BBB), and Blood-Cerebrospinal Fluid (CSF) Barrier (an interface between the blood, brain and spinal cord). This selective system protects the brain from pathogens, toxins or other harmful substances and only allows certain nutrients and waste to be exchanged. For better or worse, this safety system can also prevent some medications (like antibiotics) from reaching brain tissue. In the case of Rifabutin, this is not a problem. Although this is one of it's major advantages in the treatment of neuro-bartonellosis, it can result in increased nervous system inflammation. To help quell this process, Dr Barter added Magnesium L-Threonate.
Magnesium plays a critical role in neurological conditions and brain-related functions. The most widely used (ie- magnesium citrate, malate, glycinate) have very limited (to no) therapeutic effect for the brain. Magnesium L-Threonate is the ONLY form that specifically crosses the brain’s protective barrier and is necessary for optimal nervous system health. It has been shown to 1) Calm Nerve Inflammation 2) Increase Brain Plasticity (brain's ability to change, grow and adapt neural networks) 3) Support Neurons (functional units in the CNS) and 4) Stimulate the formation of new brain cells (via 'brain-derived neurotrophic factor' or BDNF). Collectively helping with cognitive ability and executive function. Interestingly, studies have also shown it can help restore memory deficits associated with chronic pain (which most bartonella patients have), but in the case of rifabutin, we are primarily using it to help reduce inflammation within the central nervous system. In the face of deficiency (which, to no surprise, most chronic bacteremic bartonella patients are), it can improve a plethora of neurological symptoms as well.

My body seems to be holding up well with the transition: There have been a few major fireworks involving my nervous system and connective tissue. My skin is more hypersensitive than ever (and itchy, even my fluffy organic spa towels hurt), my pain feedback is heightened, my muscles ache everywhere (more than normal) and my Autonomic Nervous System (ANS) is potentially recalibrating lol. A few weeks into Rifabutin, I started experiencing this intrusive, odd abdominal sensation of burning that gradually rises up (from pelvic floor to chest) resulting in severe nausea, lightheadedness, narrowed vision and extreme sweating. It feels like my nerves are firing off an SOS; pure misery in the form of systemic panic.
Bartonella and the Autonomic Nervous System:
In the most basic sense, the ANS (which is one part of our entire nervous system) controls things that should be "automatic" (things we don't have to consciously control). This is critical for regulating resting heart rate (pulse), blood pressure, body temp, breathing and digestion. Secondary to chronic, late stage infection, most Bartonella (and Lyme) patients experience the eventual onset of autonomic dysfunction (known as Autonomic Neuropathy). This type of dysautonomia (Dys- meaning 'dysfunction' and -autonomia meaning 'of the 'automatic' nervous system') can effect our balance between "Fight or Flight" (the Sympathetic System) and "Rest and Digest" (the Parasympathetic System) Our Vagus Nerve is of the longest, most integral and most impactful parts of this system. Not really something you want malfunctioning, but unfortunately it does.

There are many presentations of Autonomic Neuropathy - Among our group of illnesses, POTS (Postural Orthostatic Tachycardia) is the most common (and well-known) form of this syndrome. Like all things bartonella, severity of symptoms are dependent on the host response and can range from mild to debilitating.
So, what causes it?
It boils down to inflammation - Where it is located? How long has it been there? How severe is it? What else is it impacting? What is the underlying cause? We know that bartonellosis (a chronic systemic intracellular infection) manipulates our body's inflammatory status for it's own benefit (coined a "pathogenic strategy"). Overtime, the impacts of chronic inflammation lead to multi-system derangements. In the context of the ANS; our natural control center becomes imbalanced. Making things even more complicated, episodes of dysautonomia can flare Mast Cell Activation Syndrome (another disease often seen with chronic Bartonellosis and other vector-borne illness like Lyme Disease). This results in the release of histamine. As we all know, when histamine is released, inflammation follows. Essentially both syndromes (Dysautonomia and MCAS) can forward feed the other. The outcome, a myriad of intolerable symptoms, increased inflammation, immune dysfunction and wide-spread nervous system disruption.
Like all things bartonella (and vector-borne illness), the secondary complications (of these syndromes) are expected to resolve as treatment progresses and the bacterial burden diminishes. So even though the things I'm experiencing are incredibly intrusive, they are no more intrusive than the disease itself. And given Rifabutin's powerful potency within the nervous system, it seems medically reasonable (and not necessarily a bad thing) as long as I don't pass out. There are alternate therapeutics available for those who can't tolerate Rifabutin's harsh side effects, but if able, at least for me, is well worth the risks.
Here is a little more detail for those interested:

[PART 2]
The Good
It's amazing what the body can accomplish with the right tools. With the negligence of conventional medicine, misdiagnoses and medical mismanagement behind me, targeted treatment over the last 3 years has helped my body calm, reboot and rebuild it’s composure. Systemically, I feel less inflamed, have improved connective tissue integrity and my body feels much more tolerant. My acquired hypermobility has COMPLETELY RESOLVED, all hormones, adrenal function, thyroid, minerals levels and vitamin deficiencies have stabilized on supplementation and multiple related-syndromes (caused by chronic inflammation and infection) are now managed and more controlled. Incredibly, I have found a new Behavior Health Specialist versed in neuropsychiatric forms of Lyme disease who has taken me on pro-bono. Thanks to our good friend, I've been able to start weekly IV glutathione infusions (which has helped immensely). And a few times over 2022, I actually woke up feeling good... something I haven't experienced in over 7 years (which was surreal).
For other patients, parents of patients or family members here learning about this disease, I added a visual below that captures the depth of Bartonella's multi-system involvement and quantifies treatment improvements (ie - where I started and the respective management of each sequela). It is intended to inspire... to show what is possible. The unfortunate truth however is that in our situations, one person's gain can have an unintended collateral impact of loss on another. So if you're a patient who's been undergoing treatment for years and are yet to see similar clinical improvements, please don't be discouraged or disheartened. You'll get there!

Pretty amazing, right? Yes, my body continues to require an egregious amount of supplementation and medications to achieve this, BUT that's not the point. The point is that these things... these many things... are moving in the right direction! And that is huge! It's important to celebrate every single clinical improvement where possible, each small win becomes part of a larger gain. Still, there is this very (very) small part of me that subconsciously allows the excitement of progress to be overshadowed by the reality that my body cannot yet self-sustain. You take away one medication and the dominos fall, along with any control you thought you had. Admittedly so, I struggle to picture the eventual point in recovery where medications are slowly discontinued and my body able manage on it's own. I think, for me, this stems from how open-ended our treatment expectations are. Like all vector-borne illnesses, there are no absolutes when it comes to bartonellosis, no perfect models or easy algorithms. So that day does seem far away, but I'm THAT MUCH closer and so proud of each growing positive progression. Just keep fighting, keep clinically investigating and we'll get there.
Multi-Level Spinal Degeneration
As you may remember in previous posts, one of the more complicated collateral consequences of bartonella’s pathophysiology is connective tissue laxity. As my disease progressed, I developed an acquired hypermobility and my connective tissue derangements spiraled. As my hypermobility advanced, subsequent spinal degeneration set in. With herniated discs and bulges effecting my cervical, thoracic and lumbar spine, my neurologic injuries rapidly progressed (re: Neurologic Progression 2019-Current); a plethora of new injuries, collateral spinal deterioration, severe backbone/radicular/neuropathic pain and full-body limitations materialized, halting all Physical Therapy efforts. By fall 2019, the realization that I had become disabled was unmistakable and the possibility of Multiple Sclerosis became the center of discussion. Luckily repeat imaging at the time was not consistent with MS but did confirm worsening degenerative changes throughout all levels of my spine (ie- facet arthropathy, more disc herniations and bulges (especially in my neck), stenosis at multiple levels and bridging spondylosis) Six months after that (Feb 2020), I finally had my official diagnosis. NOW for the GOOD PART -- Almost 3 years into bartonella treatment, the damage comparison is promising -- Repeat TMJ, Cervical, Thoracic and Lumbar MRI HAVE NOT significantly worsened since starting treatment!!!! Even more beautiful, as of December 2022, my hypermobility has completely resolved. Reports attached below for other patients
Repeat Imaging Results 2021-2022



So, what’s worse?
Well, there has been zero progress on SSDI which is mentally, medically (and financially) damaging. I’ve been denied twice, with appeals to both and entered the hearing phase in March 2022. There has been no movement since (keeping in mind my initial app submission was in 2020) and while I shouldn’t be, I’m still somehow shocked by the difficulty and disjointedness of the entire process.
From a symptom standpoint – my GI upset, nausea, feet pain, hyperpigmentation (meds, hormones, ethnicity) and neuropathy are worse. So much so that I slipped down an entire flight of stairs in my house (don't worry the only thing fractured was my pride) and I still require the use of an electric wheelchair when we venture out to larger grocery stores. Psychologically and emotionally, I am having a hard time with death, an unavoidable absolute shared amongst every species on this Earth. I am constantly cherishing every moment with my mom, Pancake, my cat… like it’s our last. Every day, I find myself mourning the future loss of something still very much alive (even inanimate things). At the same time, I remain incredibly disconnected from situations I’d normally be invested in. None of it is normal. I think, as a result of my personal loss these last few years, I'm trying to hold on to everything I possibly can, for as long as I can; especially since my livelihood is still limited. We are working the problem in therapy sessions, but I tell ya, sometimes it's all-consuming.
Illness is never convenient
The most unfortunate part of this disease has been the timing. As someone who's always wanted to have children, my illness occurred at the start of those remaining pivotal years of a woman’s reproductive prime. Now almost 41 years of age, I’m losing time and that feeling is dreadful. In November 2022, I consulted with a Fertility Specialist trained in cancer/complex illness at CCRM – The jest of it -- It isn't impossible, but it is unlikely. Given my age and chronic systemic inflammation (regardless of cause), the likelihood of having any quality eggs at this point is poor. In her experience, Egg Harvesting would not be a good investment (although she is willing to try). It's expected that about 25% of eggs will survive retrieval and of that 25%, roughly 60% will die once fertilized. To get a good assessment, a Transvaginal Ovarian Ultrasound and bloodwork (FSH, LH, AMH, etc) needs to be performed on day 3 of my cycle. If I am a candidate for egg harvesting, she would be willing to work with my team of bartonella doctors to come up with a safe protocol that avoids estrogen dominance (similar to breast cancer patients). Also interesting, AMH (a hormone that estimates egg reserve) can rebound after recovery from chronic disease (but unfortunately, won’t change the fact that the egg quality WILL NOT). I'm coming to terms with the idea that my chance may have come-and-gone but God-Willing, there is still some time left. It just doesn't feel real.
New Developments:
Here is where this update gets a little more difficult. To save on length here, a few major points (ie- my resolution of hypermobility, and new diagnoses of proteinuria, low IgG levels, diabetes insipidus and chronic pansinusitis) will be outlined in the NEXT update. I was hoping to fit it all in, but shortening their discussion (in relation to bartonella) would be a disservice to other patients.
For this update, I want to focus on a revelation that directly impacts my current treatment trajectory and future healing; The diagnosis of systemic mycotoxins and impacts of glutathione deficiency.
[PART 3]
Past Exposure | Future Complication
With all aspects of chronic infection, overall health and vitality is dependent on your clinical history. In patients suffering from Bartonellosis (and other vector-borne disease or zoonosis), the concern of underlying co-infections (be it viral, parasitic, bacterial, or fungal) exist. Typically, mutations within methylation and detoxification pathways are also shared. Without thorough diagnostic evaluation or astute clinical perception, your treatment response may not improve beyond a specific point. A medical roadblock if you will. Since starting treatment with Dr Barter, we’ve discussed (and performed) additional diagnostic considerations to avoid these roadblocks, working to fully evaluate my underlying status. Little by little, we’ve pulled back and addressed the layers of 'cause and effect'. In the context of chronic illness, this is a perfect example of how past exposure can (and does) impact future health, irrespective of the number of years passed.
Florida State University, my beloved Alma Mater
In 2022 FSU officially publicized the indefinite closure and environmental review of it’s College of Health and Human Sciences (also known as the Sandels building). After 2 decades of complaints, the announcement cited toxic black mold, unsafe air quality, off-gassing of carcinogens, cyanide and severely elevated radioactive levels of radon.
As graduate of this college (2001-2006), this prompted investigation. I spent hours reading all available information. Most damning, in a formal 129-page report, the tenured faculty outlined multiple environmental concerns and very serious health-related complaints dating back to 2001. As I progressed through each page, my shock was visceral. My heart sank into the pit of my stomach. For 21 years, a well-documented forensic timeline of safety concerns deepened and encompassed my years of attendance. Dating back even further, complaints regarding air quality and mold growth started in the mid 1980s, over 40 years ago!! Adding insult to injury, around that time, the building itself was structurally sinking. Hard to believe, but the engineering solution consisted of “constantly pumping water into the foundation to stabilize the building”. To no surprise, the Sandels' basement flooded numerous times over. Naturally, the issues with mold within the flooring, the walls and HVAC system only worsened thereafter as “black particles from the HVAC system covered aspects of the labs and offices”.
Independent environmental reports found the HVAC Coils/Complete Duct System were fully contaminated with multiple pathogenic and toxigenic fungi (Stachybotyrs, Chaemotium, Cladosporium and Aspergillosis). Of particular concern, Stachybotrys (toxic black mold) was detected in the indoor air at high levels. Also relevant, records indicate that previous asbestos removal occurred in the mid 2000’s but FSU kept no records on where the asbestos was found, the exact date of removal or if proper protocol was followed.
The fact that this was repeatedly avoidable (and dismissed) is what makes it so terrible. The report goes on as multiple staff members, students, and graduates (of the College of Health and Human Sciences) recorded clusters of miscarriages, autoimmune diseases, connective tissues disorders, migraines, dizziness, nervous system issues, asthma and allergies and/or compromise that led to immune dysfunction. Tragically, in recent years, multiple graduate students sharing the same laboratory space lost their lives to extremely rare forms of cancer.
My Diagnosis:
After alerting Dr Barter of this new development, Urine Mycotoxin testing was promptly performed (using Great Plains Laboratory and Real-Time Labs, CLIA certified). To my astonishment, I was positive (at high levels) for every listed mycotoxin of concern, especially toxic black mold. I couldn’t believe it, nor could I believe it was possible that 1) All these years later, I had the exact mycotoxins outlined on the air/environmental review present in my system and 2) An institution like FSU, in the College of Health and Human Sciences no less, would be so negligent; a negligence many have paid for with their livelihood and tragically, some their lives. As unreal as it was, it makes so much more sense now.
Clinical Relevance:
During my time in this College, I developed migraines, chronic cough, random sore throats, vertigo, dizziness, athletically-induced asthma, hypotension and trouble sleeping. Unaware of the environmental exposure, doctors concluded these symptoms were related to ‘academic stress’. Later, an Infectious Disease Doctor trained in Tropical Medicine subsequently diagnosed ‘immune compromise’ and possible Viral Syndrome caused by HHV-6. By 2005, symptoms were drastically improved (which also correlated with me NOT being in the Sandels Building as much). After graduation from FSU (Spring 2006), my symptoms resolved all together. The migraines and dizziness were less severe and of minimal frequency and my HHV6 titers were normal.
Looking back the connection is obvious. I can still remember the cold and musty interior air. Those black flecks often covered our laboratory benches, desks, and office chairs. My acute respiratory (sore throat and hoarse cough) and more chronic symptoms correlated to my time and duration in that building. Beyond that, there were no new outlying medical issues until becoming infected with bartonella (re: 2017 Cat Bite). Until now, reference to my health issues from 2001-2006 had been collated to the diagnosis of HHV-6 and ‘academic stress’ -- Given this new information, it makes much more sense.
Mycotoxins
Molds are abundant and naturally occurring in our environment. They play an important role in breaking down and digesting organic material. They are present in our outdoor air, which can passively enter your home through an open window or door. It’s a transient and quite common process that shouldn’t cause alarm. However, under the right circumstances (especially water-damaged buildings or WDBs), molds will grow without opposition. After it takes hold in an area of moisture, the mold will pull nutrients by digesting the drywall or wood it is covering. In doing so, it produces VOC’s and mycotoxins. Now, not all fungi are bad and not all molds produce mycotoxins, but the ones that do can have serious health consequence.
The primary bad-players (toxigenic species) of mold include Fusarium, Penicillium, Aspergillus, Chaetomium and Stachybotrys (toxic-black mold). Exposure can occur through ingestion (food sources), inhalation (airborne spores), and direct skin contact. Neurologic disorders (neurotoxicity), rheumatic disease, asthma, digestive disorders, sinusitis, cancer, cognitive decline, chronic fatigue, skin rashes, depression, anxiety and liver damage (hepatotoxicity) have all been linked to mycotoxin exposure. Of even greater significance, the systemic effects of mycotoxins can overlap with that of Bartonellosis. Additional complication occurs from the immunosuppressive influence mycotoxins have on weakening the host’s natural defenses (further hindering a patient’s ability to fight infection). The combination overwhelms detox pathways, depletes glutathione levels and contributes to ongoing oxidative stress, inflammation and cell damage.
Not all people exposed to mycotoxins will become systemically ill.
The severity is determined by multiple factors (exposure type, duration and dose, type of mycotoxins, age, genetic mutations in metabolic processes for detoxification and methylation, health, nutritional status, and other toxic burdens). It has been demonstrated that patients who develop chronic illness after prior exposure to a water-damaged buildings (and mold) will have detectable levels of mycotoxins in their urine. Mold may be harbored internally and continue to release and/or produce mycotoxins which contribute to ongoing illness. Since inhalation is the primary source of exposure in WDB, there is possibility for biofilms to form along the sinuses. The research is inconclusive and ongoing.
Like all things ‘chronic illness’, the diagnosis of mycotoxins comes with controversy.
While mainstream medicine (and the CDC) continues to dismiss the health impacts of certain environmental toxins, integrative specialists and researchers have shown extensive correlation to chronic illness. There are countless animal studies outlining specific mycotoxin-related systemic disease and their impact on food production animals. Human studies are needed to prove a causal relationship (randomized controlled double blind interventional human study) however this is considered unethical and justifiably not allowed. This leaves a gap in defining plausible explanations of pathological mechanisms (and thus leads to controversy). Adversely, the WHO (World Health Organization) states that exposure to mycotoxins (via inhalation, ingestion and/or skin contact) can have acute and long-term adverse health effects to both humans and animals (resulting in organ injury, immune deficiencies, auto-immune disease, and cancer).
The take home message here -- Keep an open mind if you are sick. Don't be adverse to the scientific curiosity, self-advocacy and investigation. Do everything possible to get your full clinical picture. The tests are expensive, but remaining undiagnosed comes at a much greater cost.
My Treatment
Dr B prescribed additional binders (cholestyramine and bentonite clay), anti-fungal therapy (itraconazole, nystatin oral tabs and antifungal nasal rinses) and increased detoxification efforts (adding lymphatic massage, continuing FAR IR Sauna, addressing glutathione depletion with IV infusions, cellular repair with phosphatidylcholine and phase II detox pathways in the liver with AminoD-Tox). It took a good amount of time to slowly incorporate all the treatment changes and it’s hard to nail down in specific detail, but there is this general feeling that things are calmer and my body, more resilient. Most notably, there have been improvements in my exertional fatigue, cognition, skin tone, face pain, ocular pain/sensitivity, sinus pressure and energy. What’s most interesting is that my liver values immediately normalized within 3 weeks of starting itraconazole and glutathione infusions.
Here's an in-depth look of the indications and dose prescribed
Antifungals

Binders

Detox

Glutathione Depletion
Not in contention, multiple studies show that any chronic process (resulting in chronic inflammation) overtime depletes your body’s available Glutathione (GSH) stores. Being the most powerful and abundant antioxidant made within the body, normal levels of glutathione are essential for maintaining health. The highest concentrations of GSH can be found within your liver -- arguably the most important detoxifying organ in the body. Once glutathione is depleted, immune cells lose their ability to fully fight infections; there is increased cell damage, decreased cellular repair and unregulated inflammation. In the case of chronic disease (and bartonella), our cells eventually get to a place where they are using the GSH faster than they can make it. Essentially, the rate at which free-radicals are generated surpass glutathione production leading to a cascade of inflammation and tissue damage (oxidative stress). As GSH depletion progresses, cells can't keep up with the demand… and the cycle continues.

Although the human body can produce this substance naturally, chronic depletion leads to a functional deficiency. Low GSH levels play a role in the development of neurological disorders, recurrent bacterial infections and have been associated with an increased risk of cancer, diabetes, hepatitis, auto-immune disorders and neurodegenerative diseases (like Parkinson's disease).
These studies also show that replenishing GSH levels can directly strengthen your immune response against bacteria and viruses. Oral administration of liposomal glutathione and it’s precursors (NAC, P5P, selenium, vitamin C, milk thistle, whey protein, methylated B vitamins, Vitamin E, etc) are available through supplements and food sources. However, these forms require your body’s use of energy to metabolize, transport and absorb the nutrient (which is already in short supply). Bypassing the gut with IV Glutathione infusions provides your cells direct access to exactly what it needs to start efficiently improving levels and decreasing oxidative injury.

In concert with the rest of my protocol, this has been THE most important update to my treatment. My improvements with photophobia, POTS (Autonomic Nervous System), exertional fatigue, muscle cramps/spasms, ocular/facial/sinus pain and hand function have all correlated with the start of infusions. My body just feels less fatigued. An added perk, they even let in service animals so I get to bring Pancake in with me for treatment. It’s something to consider! I know I'll never go without it (thank you mom and Dr Brennecke for making these happen)
Recheck Summaries:
Of course, so many additional medical modifications, diagnoses and discussions have occurred since December 2021. For those interested in those details, here are the summaries of all 6 rechecks appointments (Dec 2021 - Dec 2022) outlining respective treatment trends and changes.
[PART 4]
Mom's Health:
As most of you know, mom has been my primary caregiver since 2018. She helps me with all aspects of daily living. Not an easy or stress-free gig. She 's been sacrificing some of the best years in her early senior-hood to help me through, while simultaneously managing her own health, trying to be as connected as possible to the ones she loves while in Colorado with me and living one of her life-long dreams of helping build her son's business. She’s been burning it at all ends.
Unfortunately, around March 2022, mom became critically ill for months on end. Fine one day, bed-ridden the next. The cause remains unclear. All diagnostics (heart imaging, stress tests, CT scans, MRI’s, blood tests, covid panels, viral panels, holter monitors) and new consultations (rheumatology, integrative medicine, cardiology, pulmonology, etc) could not nail down the specific culprit. Within the acute period of her illness multiple systems were affected and her adrenal glands (cortisol) and thyroid were barely functional. The situation was so severe, she had me complete her Will, POA and prayed God would allow her to live long enough to write each of us kids a letter.
Over the last few months, her body has started to come back to life, but struggles persist with her energy, memory and cognition. It was tough to manage the critical period, but we both were able to provide. During the worst of it, all Rifampin increases (between March-May) were paused so I could be of more service. She’s recently entered PT and is thankfully recovering (keep the prayers coming). Big thanks to everyone who helped during that time and especially to my mom:
Thank you, mom, for all you do!
I love you
Milestones/Highlights:
I was able to car sing again. January 26, 2022
Imagine a level of fatigue and muscle weakness so severe that a basic breath in-and-out leaves you with nothing. Let alone the energy it takes to laugh and speak. I could have NEVER exerted this little burst of energy or oxygen in 2021, 2020 or most of 2019.
For almost 3 years, I could only engage when absolutely necessary and it left me exhausted for days on end. Mom went months in silence… acknowledged by grunting or a muted response to any of her questions (love you mom). So, yeah… THIS day was a pretty BIG deal! Mom and I cherished every second. It felt so good to laugh. Along those lines, as of Dec 2022, I've also been given the okay to drive short distances as symptoms allow! It's been over 2 years since losing my driving privilege's due to illness. It's a gain fluid in independence and empowerment. Those who know me, even in the slightest, know I LOVE car singing, especially while driving the jeep on the open road in God's country. Little by little... coming back to life. I miss me.
I'm officially 40!
Not quite what I had pictured for the prime of my life; grateful just the same though. In the days leading up, my 30’s bid farewell with an onslaught of symptoms reminiscent of our last 6 years; closing with an ice pick migraine on my glorious day of birth. The house was so spectacularly decorated. My mom created the most amazing ambiance with a myriad of decorations, white, black, teal and gold balloons and an overwhelming spread of gifts from the family. I was able to facetime with the fam, spend some great quality time with mom and enjoy the heck out of my dark chocolate birthday torte!
Despite mom being so sick, she organized countless video messages from the most important people in my life, people who've played crucial roles in the person I am today (from all ages of childhood, college, professional life and adulthood). These are my all-time favorite people from different chapters in this life.
It was pretty incredible; is one of those gifts that transcend time. Especially the videos from my mom, brothers, and family/friends. Thank you to everyone who participated. I must've watched them 20 times over.
On a personally distressing note, shortly after turning 40, I got a couple unwelcome grays - my bestfriend Melissa assures me “of all the things, THIS is THE most normal thing happening in your body right now” lol. So there's that
Family and Sacrifice:
Because of all my variables regarding illness, our family has made every concession to protect my health during the worst of covid. Still to this day, mom and I require masks in public and maintain hygiene standards suitable for a surgical suite. 3 years have come and gone without mom able to visit or hug one of her sons and me, my brothers. That all changed February 2022. Traveling on business, my little brother planned a visit. He so graciously rented a car, stayed at a nearby hotel and had his own personal space in the vestibule (him on one side of the glass and us on the other).

It was perfection. His hug and laugh renewed my soul.
Later that year, he married the love of his life, Brooke. Not only do we love her, but she loves and embraces our family completely, without motive or hesitation. That’s a pretty special gift. They eloped in Mexico and hours before, found a way to stream the ceremony. It was such an honor to witness their vows and union. We dressed for the occasion and had digital living room celebrations from states far and wide. Even with the distance, there were so many moments leading up to-, after- and during- that were so damn special! Congratulations brother!
The next month, we shared our first thanksgiving with them as husband and wife (mom and I’s first thanksgiving with family since the start of CV). We surprised him with an early birthday celebration and they surprised us with one heck of a bad ass TV! The house was full, one mom, one sis, one husband, one wife, three dogs and one cat! It was incredible. I'm so thankful for their efforts and for making this happen. I needed it more than anyone could ever imagine.
Sacrifice has not only been my own, but my family’s (and I'm so sorry for that). Hopefully in due time, my situation will allow mom (and my brothers) to visit freely, without concern. It is long overdue, and I know my constraints are understood, but subsequent burdens on those I love the most. Now we just need to get mom to her oldest son, and time with my older brother (miss you big bro).
Friends, Friends and more Friends:
My best friend, Kimmy flew in from Oregon. Our friend Sharon came by for coffee. My great friend Karen invited us out to the barn for some live music and to visit the horses. I was able to facetime with another one of my all-time favorite people (my bestfriend Ashley, FSU) and Vihaney (one of the most incredible veterinary ICU nurses I’ve had the honor of working with, now a DVM herself) came over for a few hours while back in Colorado. There is no way to fully explain just how healing all of these things were for me. I’ve been limited and isolated for so long, these moments were incredible and I can't wait to make more.
Whew, okay! That's a wrap. Are you alive? I'm alive lol and if you made it here, THANK YOU -- Your effort and time makes my efforts here so meaningful.
In Closing:
While this blog (and the amazing people I’ve met through it) have been one of the biggest blessings to come from this disease; the pain and suffering within the community is vast. So many people, globally, are suffering from this disease (more than you could imagine). Once someone else knows exactly what you’re feeling, however it is you’re feeling, just doesn’t feel quite as terrible. If we know that other people are going through similar things, sometimes we feel a little bit lighter. That’s what I hope this blog does for so many of you. It’s easy to lose hold of a healthy balance. It is equally difficult to watch others live on while you're struggling and suffering to get by on a daily basis. Surround yourself with humor and people who truly care about you and your wellbeing. If someone does not understand or support you, it's time to let them go. Adversities develop character, but they also point out who and what is truly important in life. Know you are not alone. Stand firm in faith, don't give up and meet your prayer halfway.
"... God is salvation;
I will trust and not be afraid.
The Lord, the Lord himself, is my strength
and my defense;
he has become my salvation.
- Isaiah 12:2
Until next time… DEFINITELY NOT 13 months from now lol
'She Used to Be Mine' by Nicolina
2022 Picture Slideshow:
















































































































I was stuck by your comments about the building issue at FSU. I have been diagnosed with Bartonella and Borrelia, chronic EBV, + autoimmune issues. Your posts were what got me going in the right direction. (Thank you so much!!!!). After reading your posts, I got my doctor to put me on Rifampin. And I have since watched every Mozayeni video I can find. However, what struck me was the idea that we could be living with these infections, but some overwhelming event or medical crisis whacks your immune system, thereby precipitating an onslaught in symptoms that takes on seemingly a life of its own. Ironically, I think my medical crisis occurred when I was exposed to chemicals …
Hi cousin, wow, what an update! Beautifully written and so informative. You and Momma V are so amazing! You two are tough as nails but also sweet and kind at the same time. That's shocking about the mold at FSU. I was also exposed to mold in my old house, and reading that was extra helpful to me. I will get the test done and also look into the treatments you mentioned. I'm so happy to hear the treatments are helping you. I'm excited for the next update. I feel like we're not too far away from a visit! I can't wait to see you two, it's going to be so much fun! Love you.
My sweet friend, you have such a gift with words. I think YOU should have been the journalism major <3 I read every single word...even the ones I don't understand lol I'm so proud of you for writing this... for taking the time even though I know rehashing some of this was so painful. You are in such a battle but your progress and milestones are incredible. I hope I can hug you and mom soon. Sending all the love from Apopka <3